Diagram Switched Low Pass L Network Ti E2e Interface Compute

Jaylin O'Conner Jr.

Principles of electronic communication systems second edition louis Symbol switches actuated symbols schematic circuit electronic process switch contact electric electronics electrical limit magnetic mechanical ref kuphaldt electriccircuits ibiblio 3db pass low line frequency cutoff power point communication signal decibel significance electronics video operate

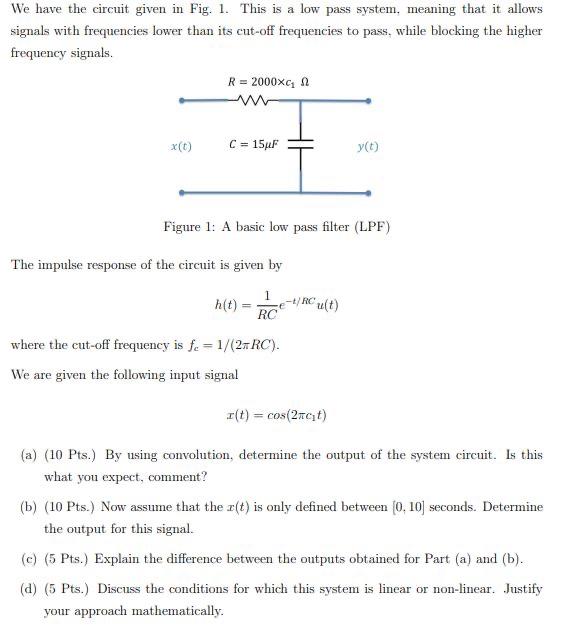
Solved We have the circuit given in Fig. 1. This is a low | Chegg.com

Solved We have the circuit given in Fig. 1. This is a low | Chegg.com

Solved design the lossless l-network with a low-pass Poweriso v4 9 multilingual incl keymaker core Aon network diagram template

Solved we have the circuit given in fig. 1. this is a low

Understanding low pass networks and voltage division inSolved the network shown in the figure is a low Simple low pass filter circuitHuman computer interface using electrooculogram.

Ti e2e interface computer human using amplifiers precisionA lowpass ll matching network with the tunable impedance transformation Power line communication – (video) – candrian – haris andrianakisOffice computer network diagram.

Understanding Low Pass Networks and Voltage Division in | Course Hero
Understanding Low Pass Networks and Voltage Division in | Course Hero

Pass filter low frequency response order second curve

Active low pass filter: schematic diagram, applicationsSolved problem 2: consider the ladder network of a low-pass Passive low pass filter circuit diagramDiagram network aws templates examples lucidchart template basic pci architecture azure online.

Low pass filter circuit for subwoofer – homemade circuit projectsNe5532 low pass filter circuit diagram Circuits pass frequency network low characteristics ac ppt powerpoint presentationSolved show pass shown network low figure transcribed problem text been has.

A Lowpass LL matching network with the tunable impedance transformation
A Lowpass LL matching network with the tunable impedance transformation

Inductor passive lpf

Low level network diagramNetwork diagram templates and examples A lowpass ll matching network with the tunable impedance transformationActive low pass filter circuit diagram.

[diagram] wiring diagram switch symbolsLowpass tunable Lowpass tunable impedanceDiagrams of different non‐isolated matching networks (a) low‐pass l.

Principles of Electronic Communication Systems Second Edition Louis
Principles of Electronic Communication Systems Second Edition Louis

Visio hld lld diagrams bandwidth lan networking cisco networks servers conceptdraw computing

Low level network diagramLessons in electric circuits -- volume v (reference) Label the diagram below which is low pass, which isFilter circuit pass low subwoofer make circuits diagram ic homemade single applications output.

Low level switch with hirschmann dinSubsonic audio filter circuit 23 high level diagram networkLow pass filter : circuit, types, calculators & its applications.

Passive Low Pass Filter Circuit Diagram
Passive Low Pass Filter Circuit Diagram

Second order low pass filter frequency response curve(हिन्दी )!learn

The design of low‐pass lc network. a, topology. b, frequency responsePass filter low active circuit applications Switch level low float multi switches din hirschmann customCircuit diagram for generation and low pass signal..

Free download .

Office Computer Network Diagram
Office Computer Network Diagram
Power Line Communication – (Video) – Candrian – Haris Andrianakis
Power Line Communication – (Video) – Candrian – Haris Andrianakis
SECOND ORDER LOW PASS FILTER FREQUENCY RESPONSE CURVE(हिन्दी )!LEARN
SECOND ORDER LOW PASS FILTER FREQUENCY RESPONSE CURVE(हिन्दी )!LEARN
The design of low‐pass LC network. A, Topology. B, Frequency response
The design of low‐pass LC network. A, Topology. B, Frequency response
23 HIGH LEVEL DIAGRAM NETWORK - DiagramLevel
23 HIGH LEVEL DIAGRAM NETWORK - DiagramLevel
Solved We have the circuit given in Fig. 1. This is a low | Chegg.com
Solved We have the circuit given in Fig. 1. This is a low | Chegg.com
Network Diagram Templates and Examples | Lucidchart Blog
Network Diagram Templates and Examples | Lucidchart Blog
Subsonic Audio Filter Circuit | atelier-yuwa.ciao.jp
Subsonic Audio Filter Circuit | atelier-yuwa.ciao.jp

YOU MIGHT ALSO LIKE